12+ Contoh Soal Sistem Persamaan Diferensial

Substitusi y=vx dan dy= v dx + x dv : Modul Persamaan Diferensial 1
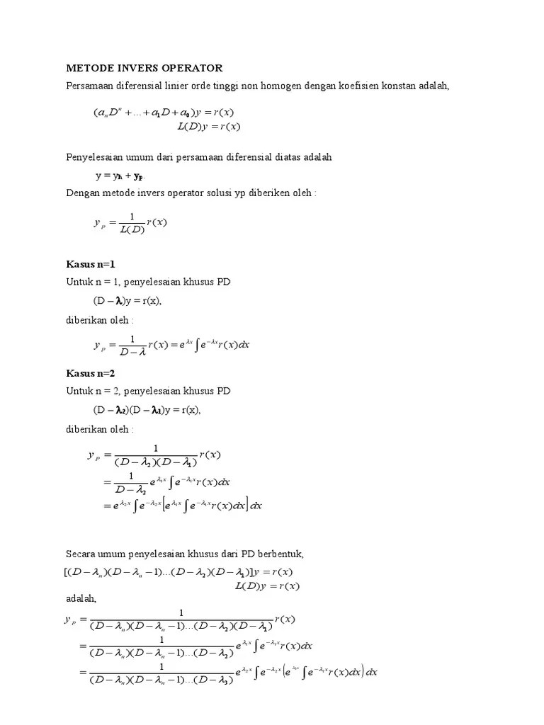
Modul Persamaan Diferensial 1 from image.slidesharecdn.com

12+ Contoh Soal Sistem Persamaan Diferensial. Bab vii di kaji persamaan diferensial linier homogen orde. Sistem order pertama (linier) bentuk: Y = a.sin x + b cos x. Persamaan diferensial muncul ketika terjadi perubahan pada suatu besaran, yang biasanya dinyatakan dalam bentuk fungsi matematis. Tentukan solusi umum persamaan diferensial untuk y ′ + ( y − 1 ) cos ⁡ x = 0. Persamaan differensial biasa · selesaikan persamaan diferensial : Jika konstanta c memiliki nilai tertentu, maka penyelesaian persamaan diferensialnya disebut penyelesaian khusus. Tentukanlah solusi dari sistem persamaan diferensial linier simultan berikut ini: Apakah fungsi x y ce. Salah satu contoh persamaan diferensial pada kehidupan sehari'hari adalah.

0 Response to "12+ Contoh Soal Sistem Persamaan Diferensial"

Posting Komentar

Iklan Atas Artikel

Iklan Tengah Artikel 1

Iklan Tengah Artikel 2

Iklan Bawah Artikel